A groundbreaking study published on arXiv reveals a fundamental vulnerability in artificial intelligence systems designed for compressive imaging—the advanced technique that enables everything from medical hyperspectral imaging to single-pixel security cameras. The research introduces InverseNet, the first comprehensive benchmark demonstrating how even minor mismatches between AI's assumed mathematical models and actual physical hardware can cause catastrophic performance failures in deployed systems.
The Invisible Problem: Operator Mismatch
Compressive imaging represents one of the most promising frontiers in computational photography and sensing. Unlike traditional cameras that capture full-resolution images, compressive systems acquire encoded measurements that require sophisticated mathematical reconstruction. AI has revolutionized this field, with deep learning methods like EfficientSCI achieving remarkable results—in theory.
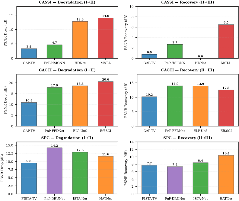
The critical finding: When these AI systems' assumed "forward operator" (the mathematical model describing how light transforms into sensor measurements) deviates from physical reality by just eight parameters, state-of-the-art EfficientSCI loses 20.58 dB in reconstruction quality. This isn't a marginal degradation—it's a complete collapse that eliminates AI's advantage over classical reconstruction methods.
"Operator mismatch is the default condition in deployed compressive imaging systems," the researchers note, highlighting a fundamental disconnect between laboratory validation and real-world deployment. Manufacturing variations, temperature fluctuations, component aging, and alignment errors all create mismatches that existing benchmarks ignore.
The InverseNet Benchmark: A Reality Check for AI Imaging
The InverseNet benchmark spans three major compressive imaging modalities:
- CASSI (Coded Aperture Snapshot Spectral Imaging) for hyperspectral applications
- CACTI (Coded Aperture Compressive Temporal Imaging) for video capture
- Single-pixel cameras for applications requiring minimal hardware

Researchers evaluated 12 reconstruction methods under four realistic scenarios:
- Ideal conditions (perfect operator knowledge)
- Mismatched conditions (real-world deployment)
- Oracle-corrected (best-case calibration with ground truth)
- Blind calibration (practical calibration without ground truth)
The testing encompassed 27 simulated scenes and 9 real hardware captures, providing both controlled analysis and physical validation.
Four Critical Findings That Change the Field
1. The Fragility of Deep Learning Methods

Under operator mismatch, deep learning methods lost 10-21 dB in reconstruction quality, completely eliminating their advantage over classical baselines like TwIST and GAP-TV. This finding challenges the prevailing assumption that neural networks inherently generalize better to real-world conditions.
2. The Robustness-Performance Tradeoff
Performance and robustness showed a strong inverse correlation across modalities (Spearman r_s = -0.71, p < 0.01). Methods that excelled under ideal conditions were most vulnerable to mismatch, revealing a fundamental tradeoff that system designers must now confront.
3. Architectural Limitations Exposed
Mask-oblivious architectures—which don't explicitly incorporate the sensing operator into their design—recovered 0% of mismatch losses regardless of calibration quality. In contrast, operator-conditioned methods recovered 41-90% of performance through calibration.
This architectural distinction provides crucial guidance for future system design: if you want robustness, build the physics into the model.
4. Practical Calibration Offers Hope
Perhaps most encouragingly, blind grid-search calibration recovered 85-100% of the oracle bound without requiring ground truth data. This demonstrates that practical calibration techniques can substantially mitigate the mismatch problem, though they add computational overhead to deployment.
Real Hardware Validation: Simulation Meets Reality
The study's real hardware experiments confirmed that simulation trends transfer directly to physical data. This validation is crucial, as it demonstrates that the benchmark findings aren't artifacts of simulation but reflect genuine physical limitations.

Implications Across Industries
This research has immediate implications for:
Medical Imaging: Hyperspectral compressive systems used for surgical guidance and disease detection must maintain calibration or risk diagnostic errors.
Autonomous Vehicles: Compressive systems for LiDAR and other sensors require robustness to temperature changes and vibration.
Space and Defense: Deployed systems in harsh environments cannot be frequently recalibrated.
Consumer Electronics: Future smartphone cameras using compressive sensing need to work reliably across millions of devices with manufacturing variations.
The Path Forward: A New Paradigm for Robust AI Imaging
The InverseNet benchmark establishes a new standard for evaluating compressive imaging systems. Future research must prioritize:
- Architectural innovations that explicitly handle operator uncertainty
- Online calibration techniques that adapt to changing conditions
- Uncertainty quantification in reconstruction outputs
- Hardware-software co-design that considers calibration from the start
As the researchers conclude, "Real hardware experiments confirm that simulation trends transfer to physical data." The era of evaluating AI imaging systems only under ideal laboratory conditions must end. The path to reliable deployment runs through rigorous benchmarking of robustness to real-world imperfections.
Source: arXiv:2603.04538v1 "InverseNet: Benchmarking Operator Mismatch and Calibration Across Compressive Imaging Modalities" (Submitted March 4, 2026)









